|
|
| Vol 24. N°1. 2023 | Enero-Marzo de 2023 |
 |
ARTÍCULOS ORIGINALES
https://doi.org/10.48061/SAN.2022.24.1.47
ANÁLISIS DESCRIPTIVO A PARTIR DEL RÓTULO NUTRICIONAL: CALCIO Y FACILITADORES DE SU ABSORCIÓN EN BEBIDAS VEGETALES PROCESADAS
DESCRIPTIVE ANALYSIS BASED ON NUTRITIONAL LABEL: CALCIUM AND ABSORPTION FACILITATORS IN PROCESSED VEGETABLE BEVERAGES
Yamila Lemes1, Josefa Pereira1, María Elisa Sena1, Flavia Noguera2, Ivanna Aude2
| 1 |
Escuela de Nutrición, Universidad de la República. Montevideo, Uruguay |
| 2 |
Departamento de Alimentos, Escuela de Nutrición, Universidad de la República. Montevideo, Uruguay |
Correspondencia: Flavia Noguera
E-mail: flabelem@gmail.com
Presentado: 14/10/22 Aceptado: 15/12/22
RESUMEN
Introducción: El calcio es el mineral más abundante e importante en el organismo. Los factores dietéticos que aumentan la absorción del calcio son: vitamina D, lactosa, lípidos, aminoácidos y citratos. Dado los escasos estudios en relación con los componentes facilitadores de la absorción del calcio en bebidas vegetales procesadas elaboradas a partir de leguminosas, cereales, coco, y frutos secos se pretendió conocer la cantidad, el tipo de calcio y los componentes facilitadores de su absorción en estas bebidas.
Material y métodos: Se realizó un estudio cuantitativo y descriptivo a partir de una muestra de 49 bebidas vegetales presentes en las 3 cadenas de supermercados en la ciudad de Montevideo. Se estudiaron las variables cantidad y tipo de calcio adicionado, cantidad y tipo de facilitadores (proteínas, lípidos, vitamina C y D), declarados en el rotulado nutricional y en la lista de ingredientes respectivamente. Se calculó media, desvío estándar, coeficiente de variación para analizar los datos, test de Student, ANOVA, ANOVA Post Hoc, y correlación de Pearson.
Resultados: El 31% de las bebidas vegetales procesadas en estudio se adicionaron con calcio (valor promedio: 120 mg). Predomina en la muestra el carbonato de calcio adicionado. Los componentes facilitadores están presentes en todas las bebidas vegetales de la muestra, siendo las de soja las que presentaron los cuatro facilitadores. Se observó diferencia significativa en el contenido de vitamina D en bebidas vegetales con adición y sin adición de calcio. Existe correlación positiva para el contenido de lípidos y vitamina D. El aporte de calcio y vitamina D de las BV adicionadas con calcio en una porción (200ml) representa el 26 % y 20% de la ingesta diaria recomendada respectivamente.
Conclusiones: Conocer la composición nutricional de las bebidas vegetales procesadas según el contenido mineral y facilitadores de la absorción es relevante para la recomendación de este tipo de alimentos.
Palabras clave: bebidas vegetales; calcio; minerales en bebidas vegetales; rotulado nutricional, composición nutricional de bebidas vegetales.
ABSTRACT
Introduction: Calcium is the most abundant and important mineral in the body. Dietary factors that increase calcium absorption are: vitamin D, lactose, lipids, amino acids, and citrates. In view of the scant studies on the components that facilitate calcium absorption in processed vegetable beverages made from legumes, cereals, coconut, and nuts, our intention was to determine the amount and type of calcium and of the components that facilitate its absorption in these beverages.
Materials and methods: A quantitative and descriptive study was conducted from a sample of 49 vegetable drinks present in the three supermarket chains in Montevideo. The variables studied: amount and type of calcium added, and amount and type of facilitators (proteins, lipids, vitamin C and D), as declared in the nutritional labels and lists of ingredients, respectively. Mean, standard deviation, coefficient of variation were calculated to analyze the data, Student test, ANOVA, ANOVA Post Hoc, and Pearson correlation.
Results: 31% of the processed vegetable beverages studied had calcium added (average value: 120 mg). Added calcium carbonate predominates in the sample. Facilitating components are present in all the vegetable beverages in the sample, with soy drinks presenting all four facilitators. A significant difference in vitamin D content was observed in vegetable beverages with and without calcium addition. There is a positive correlation for lipid content and vitamin D. The contribution of calcium and vitamin D of the BV with added calcium in one portion (200ml) represents 26% and 20% of the recommended daily intake respectively.
Conclusions: Knowing the mineral content and the absorption facilitators in the nutritional composition of processed vegetable drinks is relevant when recommending this type of food.
Keywords: vegetable beverages; calcium; minerals in vegetable beverages; food labeling; nutritional composition of vegetable beverages.
INTRODUCCIÓN
El calcio es el quinto elemento con mayor importancia en el organismo, es el mineral más abundante y representa el 2% del peso corporal. El 99% del calcio del organismo se encuentra formando el tejido óseo y los dientes, por lo que proporciona estructura y fuerza al organismo1. La leche y sus derivados son considerados fuente alimentaria de calcio por excelencia; en menor proporción, se encuentra en vegetales de hoja verde, frutas y legumbres2. La biodisponibilidad del calcio de la dieta depende de factores fisiológicos de los individuos y los dietéticos como la composición química de cada alimento3,4. Los factores dietéticos que aumentan la absorción del calcio son: vitamina D, lactosa, lípidos, aminoácidos y citratos2.
El consumo de lácteos, específicamente leche fluida y en polvo, ha disminuido notablemente en la región rioplatense en los últimos 20 años5. Al mismo tiempo, se ha observado un crecimiento en el mercado de las bebidas vegetales procesadas y en el consumo, ya sea por el sabor, por intolerancias a la proteína láctea, a la lactosa, moda, etc.5,6. Las bebidas vegetales procesadas (BV) son preparaciones elaboradas a partir de ingredientes vegetales como: almendras, soja, coco, arroz, avena y sésamo7. Tecnológicamente, son suspensiones de un vegetal disuelto y desintegrado en agua, cuya apariencia es similar a la leche de vaca. Las propiedades nutricionales dependen de la fuente vegetal de base y de su procesado6. La composición nutricional de las bebidas vegetales, según algunos autores, es de baja calidad y cantidad en nutrientes como, por ejemplo, proteínas, vitaminas (B12, B2, D y E) y minerales como el calcio, por lo que necesitan fortificarse8. Según Bindritsch Pradeiro et al.9, "[l]as bebidas vegetales industriales sin adición de calcio no son una opción para sustituir el calcio aportado por la leche de vaca fluida, debido a la cantidad de calcio presente en estas bebidas". Dado los escasos estudios en relación con los componentes facilitadores de la absorción del calcio en bebidas vegetales procesadas, se pretende conocer el contenido y la forma química de calcio presente en estos alimentos, así como de los componentes facilitadores de la absorción de calcio5.
MATERIALES Y MÉTODOS
Se realizó una investigación cuantitativa, de carácter descriptivo y observacional, a partir de datos obtenidos según un criterio transversal. Con el fin de identificar las bebidas vegetales procesadas industriales presentes en el mercado montevideano, se realizó en una primera instancia, una búsqueda web a través de las plataformas virtuales de las 3 cadenas de establecimientos comerciales (grandes superficies, supermercados) existentes en la ciudad de Montevideo, Uruguay, las cuales concentran el 85 % de la venta en alimentos industrializados10. Luego, se procedió a la compra por partida doble de cada una de las bebidas vegetales industriales en forma presencial en las grandes superficies de ventas de alimentos, durante período de julio-agosto de 2019. El criterio de inclusión para las bebidas vegetales industriales fue el de incorporar todas las presentes en el mercado a base de diferentes semillas, cereales y frutos secos, saborizadas y no saborizadas, adicionadas y no adicionadas con calcio, en su forma de presentación de 1 litro. Se confeccionó la base de datos con 49 bebidas vegetales procesadas. Todos los valores se registraron en base porcentual, es decir con base en 100 ml. Se definieron las variables de este estudio, "Presencia de calcio", "Cantidad de calcio" (mg en 100ml), "Forma química del calcio", "Presencia de facilitadores", "Cantidad de facilitador" (g, mg o mcg según corresponda en 100 ml), "Tipo de facilitador" (proteínas, lípidos, vitamina C y vitamina D) e "Ingredientes base".
La cantidad de calcio (mg cada 100ml) en las bebidas vegetales se obtuvo del rotulado nutricional presente en el envase. En aquellas bebidas que no presentaron cantidad de calcio en el rótulo nutricional se estimó la cantidad a través de la aplicación del Decreto N° 117/006 para calcio, el cual asigna un valor de 0 a 24 mg de calcio cada 100 ml de alimento. Dicho valor no se incluyó para el análisis estadístico del contenido de calcio.
Para conocer la forma química del calcio (carbonato de calcio, citrato de calcio, fosfato de calcio y fosfatotricálcico) contenido en las bebidas vegetales se utilizó la lista de ingredientes.
Los componentes facilitadores de la absorción del calcio se definieron en función de la bibliografía. Se seleccionaron: proteínas (g), lípidos (g), vitamina C (mg) y vitamina D (mcg).
La cantidad de cada facilitador se obtuvo del rotulado nutricional, mientras que el tipo de componente favorecedor de la absorción de calcio se obtuvo de la lista de ingredientes.
Según la lista de ingredientes, el agregado de lípidos se identificó como: aceite vegetal, aceite de girasol, aceite de girasol alto oleico y aceite de cártamo. En las bebidas que no presentaron aceites agregados se consideró que su contenido de lípidos provino de ingredientes, tales como: coco, almendra, avellana o chocolate. El facilitador vitamina C se identificó en los ingredientes como: vitamina C y ácido ascórbico. El facilitador vitamina D se identificó como: vitamina D, vitamina D2 y vitamina D3. No aparecen en la lista de ingredientes especificaciones de aminoácidos adicionados.
Respecto de los análisis estadísticos, se calcularon las frecuencias absolutas y relativas para las variables "forma química del calcio" y "tipo de facilitador".
Para comparar la cantidad de las formas químicas de calcio se utilizó un modelo ANOVA con la función aov del programa estadístico "RStudio", el nivel de significancia estadístico fue p<0,05
En cuanto a las variables "cantidad de calcio" y "cantidad de facilitador", se analizaron sus principales estadísticos: la media, mediana, desvío estándar, usando el programa Microsoft Excel 2010.
Se procedió a comparar la "cantidad de facilitador", según las subcategorías: BV con calcio adicionado y BV sin calcio adicionado, mediante Test de Student utilizando el programa estadístico "RStudio". El nivel de significancia estadístico fue p< 0.05.
A partir de la utilización del mismo programa estadístico se estudió la correlación lineal de Pearson, para conocer si existe relación entre las variables cuantitativas continuas "cantidad de calcio" y "cantidad de facilitador".
Para comparar la cantidad de facilitador y de calcio, según ingrediente base, se utilizó un modelo ANOVA con la función aov del programa "RStudio", el nivel de significancia estadístico fue p<0,05. Posteriormente, se realizó un ANOVA Post Hoc con el fin de identificar qué pares de grupos son los que representan una diferencia estadísticamente significativa. Se usó la función TukeyHSD del programa "RStudio".
RESULTADOS
Del total de 49 bebidas vegetales procesadas, el 31% se adicionaron con calcio (Figura 1A). El valor de la media de calcio cada 100ml de bebida vegetal procesada es de 120 mg.
Del total de las BV con calcio adicionado (n=15), se encontró que las formas químicas de calcio adicionado fueron: carbonato de calcio, presente en ocho bebidas (53%); el fosfato de calcio, en cuatro bebidas; las algas marinas Lithothanium calcerum en dos y el fosfato tricálcico encontrado en una sola BV. En cada bebida adicionada se utilizó una sola forma química de calcio (Figura 1B).
No se evidencia una diferencia significativa en los valores de la cantidad de calcio (mg/100ml) adicionado en las bebidas vegetales, según la forma química de calcio. (Figura 2.A).
Los ingredientes base de las bebidas vegetales procesadas que se relevaron son: soja, almendras, coco, arroz y avena (Figura 2.B). En la forma química de calcio adicionado en las BV, según ingrediente base, se observó carbonato de calcio presente en las bebidas a base de almendra y soja, y fosfato de calcio en las bebidas de almendra, soja, avena y arroz. Las algas marinas se encontraron en las bebidas a base de arroz y avena, y el fosfato tricálcico en las bebidas de coco (Figura 2.B).
| Figura 1: Distribución porcentual de las bebidas vegetales procesadas; (A) Distribución porcentual de bebidas vegetales procesadas según adición de calcio; (B) Distribución porcentual de bebidas vegetales procesadas según tipo de calcio utilizado. BV con calcio adic., bebidas vegetales procesadas con calcio adicionado.
|
| |
 |
 |
| Figura 2: Bebidas vegetales procesadas: Cantidad de calcio y tipo de calcio adicionado. (A) Cantidad de calcio (mg/100ml) según tipo de calcio adicionado en bebidas vegetales procesadas; (B) Tipo de calcio adicionado según ingrediente base de las bebidas vegetales procesadas. *Diferencia estadísticamente significativa: p<0,05 (ANOVA). n=15.
|
| |
 |
 |
Todos los facilitadores estudiados se encontraron en las BV. Las BV a base de soja presentaron los cuatro facilitadores estudiados.
En las bebidas sin adición de calcio que sí presentaron vitamina D, el desvío fue igual a cero, ya que todos los valores fueron iguales, por lo que no hay dispersión con respecto a su media (Tabla 1).
Del total de BV que presentaron lípidos, se observó la presencia de un valor extremo, por lo que el desvío es mayor a su media (Tabla 1).
| Tabla 1: Contenido de componentes facilitadores para la absorción del calcio en bebidas vegetales industriales.
|
| |
 |
Al realizar el test estadístico Student para comparar el contenido de componentes facilitadores de la absorción de calcio respecto de las bebidas con o sin adición de calcio, se observó que el facilitador vitamina D obtuvo un p valor=0,001, por lo que se constató que las diferencias en su contenido son estadísticamente significativas. Para el resto de los componentes facilitadores, el valor de p fue >0,05, por lo que las diferencias en su contenido no son estadísticamente significativas.
La correlación lineal de Pearson entre las variables cantidad de calcio y cantidad de componentes facilitadores (Figura 3) mostró que la asociación entre la variable cantidad de calcio y cantidad de facilitador Vitamina D es negativa (r = -0,72) y estadísticamente significativa con p=0,005.
Los valores de correlación para la cantidad de calcio con la cantidad de proteínas (r = -0,32) y lípidos (r = -0,17) también fue negativa y no estadísticamente significativa p=0,270 y p=0,550 respectivamente (Figura 3).
| Figura 3: Correlación lineal de Pearson entre cantidad de calcio y cantidad de componentes facilitadores presentes en las bebidas vegetales.
|
| |
 |
No fue posible calcular la correlación entre calcio y vitamina C, ya que la presencia de ambas variables en simultáneo se dio solo en tres bebidas, y la proporción entre ellas fue constante; por consiguiente, no se pudo calcular la variación entre estas.
Se observó una correlación fuerte y positiva (r =1,00) entre las variables Vitamina C y Vitamina D ya que r se presentó en su máximo valor, estadísticamente significativa (p=0) (Figura 3).
En cuanto a los demás facilitadores, la correlación entre las variables vitamina C y lípidos, vitamina C y proteínas fue fuerte y positiva con r =0,92 y r =0,82 respectivamente, estadísticamente significativas ya que p=0 para ambas. La correlación fue positiva y buena para las variables vitamina D y lípidos (r =0,66), de forma estadísticamente significativa ya que p=0 (Figura 3).
Las medias del contenido de calcio para las bebidas vegetales procesadas adicionadas de calcio no presentaron una diferencia estadísticamente significativa (Tabla 2). Entre las BV adicionadas de calcio, la Vitamina C solo se presenta en la de soja (Tabla 2), el valor de media más alto en lípidos (8,19 g) se encuentra en la BV a base de coco (Tabla 2). Al igual que el calcio, el contenido medio de vitamina D, según ingrediente base, no tuvo una diferencia estadísticamente significativa. El resto de los facilitadores (lípidos y proteínas) sí presenta-ron diferencias estadísticamente significativas en su contenido (Tabla 2).
| Tabla 2: Media del contenido de calcio y componentes facilitadores de la absorción de calcio en 100ml de bebida vegetal adicionadas con calcio, según el ingrediente base.
|
| |
 |
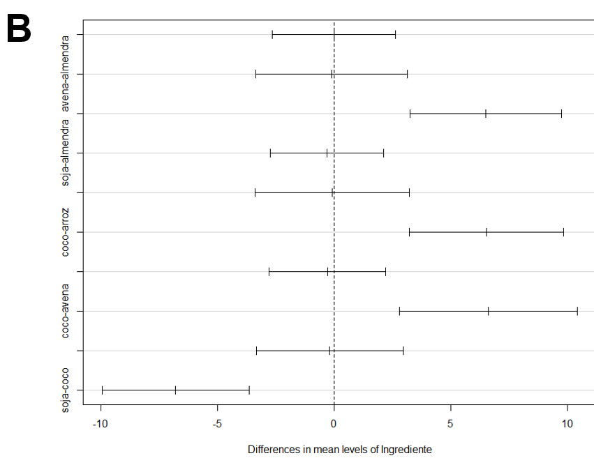
Al aplicar ANOVA Post Hoc para el facilitador proteínas, en el par soja-almendra (p=0,01) se produce una diferencia significativa en los valores (Figura 4A). En el caso del facilitador lípidos, existen diferencias significativas (p<0,05) para los pares coco-almendra, coco-arroz, coco-avena y coco-soja (Figura 4B).
| Figura 4: ANOVA Post Hoc para la media de la cantidad de facilitador de la absorción del calcio "proteína" según el ingrediente base de la BV (A) y para el facilitador "lípido" (B).
|
| |
 |
 |
DISCUSIÓN
Los principales resultados de este estudio demostraron que el 31% de las bebidas vegetales procesadas se adicionaron con calcio, y todas presentaron algún componente facilitador de la absorción de calcio.
Fuentes Cuiñas5 menciona las diferentes variedades de bebidas vegetales que existen en los mercados y los diversos componentes que son adicionados a estos alimentos.
El promedio de la cantidad de calcio presente en las BV adicionadas (120 mg ± 18,9 mg cada 100 ml) representa el 13% de la ingesta diaria recomendada (IDR), la que, según el Reglamento Bromatológico Nacional, es de 1000mg por día para la población general12. No se encontró diferencia significativa en los aportes de calcio de las diferentes bebidas vegetales procesadas a base de soja, almendras, coco, arroz y avena. Las recomendaciones de calcio varían según las diferentes etapas de la vida13. A partir de este porcentaje, se observa que el aporte de calcio en las BV adicionadas es considerable en la ingesta diaria, ya que se cubre el 26 % de la ingesta diaria recomendada si un individuo consume una porción (200ml) de estas bebidas vegetales las cuales aportan aproximadamente entre 240 y 256 mg de calcio.
En cuanto a la forma química del calcio adicionado, el carbonato de calcio se encontró aproximadamente en la mitad de las bebidas vegetales adicionadas de calcio. Valencia García et al.14 encontraron en su estudio que el carbonato de calcio y el citrato de calcio son las formas más comunes utilizadas para fortificar con este mineral. Sin embargo, en el estudio realizado no se encontró ninguna bebida adicionada con citrato de calcio. El carbonato de calcio presenta biodisponibilidad del 25%, valor que se aproxima a la biodisponibilidad del calcio lácteo que corresponde al 30%2, 14.
En esta investigación, el componente facilitador de la absorción de calcio más utilizado para adicionar las bebidas vegetales fue la vitamina D. El valor promedio de vitamina D en las adicionadas representa el 20% de la ingesta diaria recomendada (IDR), lo que evidencia una diferencia estadísticamente significativa con las no adicionadas, que representan 8% de la IDR12. En relación con el metabolismo del calcio, la vitamina D en su forma activa 1alfa,25(OH)2D participa en la regulación y estimulación de la absorción y el transporte del calcio a nivel intestinal15. Por lo tanto, las cantidades de vitamina D identificadas en las bebidas vegetales adicionadas con calcio estudiadas son considerables a la IDR, ya que el consumo de una porción (200ml) de estas bebidas aporta 2 mcg de vitamina D, lo que representa el 40% de la IDR. Las vitaminas D que se identificaron en la lista de ingredientes para adicionar fueron la D2 y D3 las que, según la bibliografía, son utilizadas para la fortificación de alimentos15. El facilitador vitamina C fue el que menos estuvo presente en las bebidas, el valor promedio tanto para las adicionadas como no adicionadas de calcio representa el 15% IDR y el 10% IDR respectivamente12, 16, 17, sin diferencia estadísticamente significativa.
En relación con el componente facilitador lípidos, se identificaron bebidas vegetales con agregado de aceites, según la lista de ingredientes. La cantidad de este componente varía entre las bebidas vegetales, dependiendo del lípido agregado o del ingrediente base de la bebida vegetal12. Se identificó que las cantidades varían de forma significativa entre las bebidas vegetales relevadas. La presencia de lípidos en las BV es importante para la absorción del calcio, ya que permiten que esta se logre de manera más eficaz al aumentar el tiempo del tránsito intestinal. Del mismo modo, mejoran la absorción de las vitaminas liposolubles, por ejemplo, la vitamina D, que también es necesaria en la absorción del calcio15. Las proteínas están presentes en las BV. El contenido de proteínas proviene del ingrediente base a partir del cual se hizo la bebida, encontrándose diferencia estadísticamente significativa. Según Bravo et al., los aminoácidos que componen las proteínas disminuyen el pH y, al mezclarse con las sales de calcio, facilitan su absorción4.
Todas las BV adicionadas con calcio relevadas presentaron un número superior de componentes facilitadores en comparación con las bebidas sin adición de calcio. Las bebidas vegetales elaboradas a partir del ingrediente a base soja son las que presentaron el mayor contenido proteico y todos los componentes facilitadores de la absorción de calcio. Esta bebida vegetal, según algunos autores, se consume como alternativa de la leche de vaca18-19. Las bebidas a base de coco fueron las que presentaron mayor contenido de lípidos. La bibliografía describe que las bebidas de coco contienen alto contenido de grasas, principalmente, saturadas y de cadena media14, 20. Estos ácidos grasos facilitan la absorción del calcio, según lo establece Sáyago et al.20. También, facilita la absorción de vitaminas liposolubles, como la vitamina D15. La relación de estos componentes facilitadores (lípidos y vitamina D) de la absorción de calcio, según la correlación lineal de Pearson, fue positiva en las BV de la muestra, es decir que cuando aumenta el contenido de lípidos, aumenta el contenido de vitamina D.
El aporte de este estudio se considera relevante, dado que en los últimos años ha disminuido el consumo de lácteos en nuestro país5, y gran parte de la población uruguaya no cubre las recomendaciones22. Con el fin de contribuir a la salud de la población, es importante el trabajo de los licenciados en nutrición en conjunto con la industria de alimentos en el diseño de alimentos con mejores aportes nutricionales para favorecer el aporte de calcio y la absorción del mineral21,22.
CONCLUSIONES
La importancia de este estudio radica en aportar al conocimiento de la composición nutricional de las BV en cuanto a cantidad y forma química del calcio y facilitadores de su absorción, a partir de la información del rotulado nutricional y la lista de ingredientes. Las BV adicionadas de calcio, así como la Vitamina D contenida en estas bebidas, representan un porcentaje considerable de la ingesta diaria recomendada. La cantidad de proteínas y lípidos que contienen las bebidas vegetales relevadas se ven condicionados por el ingrediente base.
Considerar el estudio de las bebidas vegetales es relevante para los profesionales de la salud, para educar en la elección de alimentos saludables, a partir del trabajo en cooperación con la industria alimentaria en el diseño de productos alimentarios de mejor calidad nutricional.
Es pertinente continuar con estudios relacionados con la porción de consumo de las bebidas vegetales, según las recomendaciones nutricionales, y los hábitos de consumo en este grupo de alimentos.
Financiamiento
Esta investigación no recibió financiamiento.
Conflictos de interés
Los autores declaran no tener ningún conflicto de interés.
REFERENCIAS
- Theobald H. Dietary calcium and health. Nutr Bull. 2005; 30: 237-277.
- Martinez de Victoria E. Calcium essential for health. Nutr Hosp. 2016; 33: 26-31.
- Farré R. Milk and dairy products: dietary sources of calcium. Nutr Hosp. 2015; 31: 1-9.
- Bravo P, Carías D, Velazco Y, Acosta E. Consumption of calcium and other predictors of bone mineral density in Venezuelan adolescents. ALAN. 2019; 69: 131-141.
- Fuentes A. Changes in consumption and perceptions regarding the healthy diet of traditional milk and plant-based beverages. RIVAR. 2019; 6: 1-14.
- Rey N. The TJUE reaffirms that vegetable drinks cannot be called "milk" based on the rules of protection of the dairy market, but what about the interest of the consumer? Rev Bio y Der. 2017; 41: 197-208.
- Davila de Campagnaro E. Vegetable drinks and milk from other mammals. Arch Venez Puer Ped. 2017; 80: 96-101.
- Verduci E, D'Elios S, Cerrato L, Comberiati P, Calvani M, Palazzo S, et al. Cow's Milk Substitutes for Children: Nutritional Aspects of Milk from Different Mammalian Species, Special Formula and Plant-Based Beverages. Nutrients. 2019; 11: 1-16.
- Bindritsch M, Garat L, Oliver R, Ormazábal M, Pintos L. Calcium in industrial vegetable drinks and fluid cow's milk: analysis and comparison in a descriptive study. University of the Republic, 2019.
- Uruguay XXI Siglo. Promotion and investments, exports and country image. Retail sector. Uruguay, 2018.
- Rodríguez J, Rodríguez A, González O, Mesa M. Milk and dairy products as vehicles for calcium and vitamin D: role of fortified milks. Nutr Hosp. 2019; 36: 962-973.
- Reglamento Bromatológico Nacional. Decreto 117/006 6ta Edición 2017. página 427.
- FNB/IOM/NAS Recommended Daily Intake. Food and Nutrition Board (FNB) 2011.
- Valencia F, Román M, Cardona D. Calcium in the development of functional foods. Lasallian Research Journal. 2011; 8: 104-116.
- Mota E, Perales E. Mechanisms of calcium absorption and absorption modifiers based on the development of a low-cost diet for osteoporotic patients. Gac Méd Méx. 1999; 135: 291-304.
- Badui S. Food chemistry. Fourth edition. México. Pearson Education, 2006.
- Agudelo P, Luna J, Quintero V. Formulation and physicochemical evaluation of blackberry juice (Rubus glaucus Benth) enriched with calcium and vitamin C. Rev.Bio.Agro. 2020; 18: 56-63.
- Vanga S, Raghavan V. How well do plant based alternatives fare nutritionally compared to cow's milk? J Food Sci Technol. 2018; 55: 10-20.
- Jimenez A. Nutritional value of soy protein. Research and science. 2006; 14: 29-34.
- Sáyago S, Vaquero M, Schultz A, Bastida S, Sánchez F. Utility and controversies of the consumption of medium chain fatty acids on lipoprotein metabolism and obesity. Nutr. Hosp. 2008; 23: 191-202.
- Sethi S, Tyagi S, Anurag R. Plant-based milk alternatives an emerging segment of functional beverages: a review. J Food Sci Technol. 2016; 53: 3408-3423.
- Ministerio de Salud. Diagnóstico de la situación alimentaria y nutricional. Uruguay, 2016.
|
|